Get in touch now!         +86-15655577781      info@zfymachine.com
NEWS
Subscribe for more update

The Ultimate Guide To K factor, Bend allowance And Bend deduction

Views: 353     Author: Site Editor     Publish Time: 2023-08-25      Origin: Site

facebook sharing button
twitter sharing button
line sharing button
wechat sharing button
linkedin sharing button
pinterest sharing button
whatsapp sharing button
sharethis sharing button




In the past, sheet metal workers used their own bending experience to develop CAD sheet metal drawings, export DXF format, and directly bend metal sheets into the Press Brake to obtain the sheetmetal parts forming. However, with the application of Solidworks software in the sheet metal bending industry and the high requirements for the precision of the bending workpiece, you must take into account the compression and stretching of the sheet during bending.


This article will clarify the influence of bending factors and combined with practical cases, through reading will help you improve bending calculation ability.




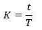
What Is the K Factor?



In fact, the K factor itself does not exist. Due to the emergence of the neutral axis concept, a value is set to represent the position of the neutral axis, called the K-factor. It is a type of bending factor in sheet metal bending, which mainly affects the ductility of the sheet metal bending.


During the bending process, the outer layer receives tensile stress while the inner layer receives compressive stress. There is a transition layer between the outer and inner layers that is neither tensile nor compressive stress, and it is the neutral axis.


As for sheet metal, the neutral axis is always balanced between the inner and outer surfaces during bending and is neither compressed nor stretched, so the length of the neutral axis is calculated to be equal to the length of the unfolded dimension of the final sheet metal.



Bending k factor calculation



The position of the neutral axis varies according to the physical properties of the material, and this is where the K factor comes in. The K factor is the ratio of the position of the neutral axis (t) to the thickness (T). Therefore, the K factor is always less than 1 and greater than 0.



K factor


              K= t/T



There is also a variation pattern between the K-factor and the neutral axis:


1. Even for the same material, the K factor in actual processing is not fixed, and the specific value is influenced by the processing technology;


2. In general, for the same bending process, the softer the sheet metal material, the smaller the K-factor and the greater the offset of the neutral layer to the inside of the bend.



When you wanna get a near-accurate K-factor quickly, refer to the table below:

k factor coefficient table

                                                                      (k factor coefficient table)





What Is the Bend allowance?



The bend allowance is the length of the neutral axis after unfolding. The bend allowance is also one of the values used to calculate the final sheet length.



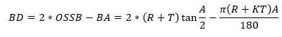
Bending deduction


The bending allowance is calculated as follows:


Bending deduction calculation


Final sheet length formula:


Leg Length 2+ Bend Allownance + Leg Length 1



In order to help you understand better, let's take an example:


When the length of a leg is 20 mm, the other leg is 70 mm, the bending angle is 90°, the thickness of the steel sheet is 5 mm and the radius is 6 mm, calculate the final length of the sheet. The calculation procedure is as follows:

Leg 1= 20mm

Leg 2= 70mm

A= 90 degree

R= 6mm

K= 0.45 (selected according to the K-factor table above)

T= 5mm

Π is approximated as 3.14

BA= 3.14×[6+(0.45×5)]×90 / 180 = 12.95mm

Therefore, the final length of the steel sheet L= 20+70+12.95=102.95mm




What Is the Bend deduction?



The bending deduction is the final sheet length minus the length of the double-calculated part.



Bend deduction


How to calculate the bend deduction is very common in sheet metal fabrication, mainly in the following ways:


1. Steel sheet with 1.7times thickness

Sheet metal workers generally used 1.7 times the thickness of the steel plate as a bending deduction, which is one of the simplest calculation methods, but not precise enough. The multiplier is different for different materials, Such as aluminium sheet is calculated at 1.6 times the thickness, and stainless steel sheet is calculated at 1.8 times the thickness.


2. (2 × thickness) + (thickness / 3)

This calculation formula is the sheet metal work after a long period of summary pushed to, but also rough calculation method. Its formula is to calculate the shortest straight line length and add the stretch factor, that the sheet metal will be stretched in the bending.


3. 2x thickness - (0.72t - 0.075V - 0.01)

This formula originates from the derivation in the paper. It is characterised by the consideration of the effect of the width of the bending lower die on the bending deduction. Since the test data are based on experiments with carbon steel sheets, the results for other materials are not stable.

t= Sheet thickness

V= Width of lower die channel


4. Bending deduction calculation formula

Bending deduction calculation

The formula is based on the neutral axis theory and has high accuracy.




Conclusion


K-factor, bend allowance and bend deduction are helpful to solve the problem of calculating the final sheet length in actual sheet metal processing, In order to get the accurate length of the prepared material in unfolded state, and greatly reduce the waste of sheet metal materials.


Besides, Other factors affecting the final bending shape also include Press Brake Machine. An outstanding press brake can ensure the stability and accuracy of other factors in the bending process.  ZFY is committed to providing high-end sheet metal machinery solutions since 1995, you can learn about the sheet metal machinery you need from our catalogue.


Determining the exact sheet unfolding length through the bending factor is the first and foremost of bending work, of course, this does not mean that it is absolute, there are different variations in different sheet metal processing environments, so accumulating practical sheet metal processing experience and bending factors application cases can better benefit your bending work.




Request A Quote

  High-tech Industrial Park Bowang District Ma'anshan, Anhui, China 

  +86-555-6761960
  +86-15655577781

Product Category

Upgrade Plan

Bending Angle Measurement

Newsletter

Join our newsletter and receive exclusive offers, updates, and ZFY news.

Leave a Message
Request A Quote

Copyright 2018  |  All Rights Reserved  |  ZFY  |  Sitemap.| Privacy Policy